![]() |
Problem 1
The conventional unit cell of a SiC 3C is shown to the right. The Bravais lattice is fcc.
(a) How many atoms are there in the primitive unit cell?
(b) Draw the atoms in the (110) plane.
(c) What is the length of the $\vec{G}_{131}$ reciprocal lattice vector? Don't forget to provide the units.
(d) How many optical phonon branches does this crystal have?
(e) How could you find the point group symmetries from the information that is given?
Solution
Problem 2
The reciprocal lattice vectors of a crystal can be expressed in terms of the primitive reciprocal lattice vectors,
$$\vec{G}_{hkl} = h\vec{b}_1 + k\vec{b}_2 + l\vec{b}_3,$$where $h$, $k$, and $l$ are any positive or negative integers. There are an infinite number of reciprocal lattice vectors.
(a) Why are only a finite number of reciprocal lattice vectors measured in an x-ray diffraction experiment?
(b) Why are fewer diffraction peaks measured in a powder diffraction experiment compared to a single crystal diffraction experiment?
(c) How are Brillouin zone boundaries related to diffraction?
(d) For neutron scattering, what determines the $k$-value used in the diffraction condition, $\Delta\vec{k} = \vec{G}$?
(e) Phonons always have a $k$-vector in the first Brillouin zone. If there are $p$ atoms in the primitive unit cell, how many phonon modes share the same $k$-vector?
Solution
Problem 3
(a) What experiments could you perform to determine the band gap of a semiconductor?
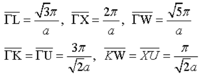
![]() |
![]() |
The first Brillouin zone of an fcc metal is shown to the right.
(b) Sketch the lowest electron band, $E$ vs. $k$ dispersion relation, along $X-\Gamma - L - W$. Use the distances given to calculate the energies of the band.
(c) What properties does an electron wavefunction in a metal have? These wavefunctions are called Bloch waves.
(d) Why are the states close to the Fermi surface most relevant for determining the properties of metals?
(e) What is the formula for the electron contribution to the internal energy density in terms of the density of states?
Solution
Problem 4
The band structure of Ge is shown below.

(a) Is germanium a direct band gap or indirect band gap semiconductor?
(b) How large is the band gap in eV?
(c) Which is greater, the effective mass of the electrons or the effective mass of the holes?
(d) Sketch the electron density of states for germanium.
(e) Is germanium transparent to visible light? Explain your reasoning.
Solution